Balik ke – 5. Perpindahan massa antar fasa keadaan tunak
Istilah radiasi mencakup serangkaian peristiwa yang sangat banyak yang melibatkan perpindahan energi dalam bentuk gelombang. Disini hanya akan dibahas jenis radiasi khusus yang disebut radiasi panas. Radiasi panas merujuk kepada radiasi elektromagnetik dalam rentang panjang gelombang 10^-7 sampai 10^-4 m dan mencakup terutama rentang radiasi infra merah. Disebut demikian karena praktis pengaruh satu-satunya adalah panas, dengan kata lain, pendinginan benda yang mengemisikan dan pemanasan benda yang menerima. Diatas suhu absolut nol K, semua zat mengemisikan radiasi elektromagnetik. Intensitas dan ‘warna’ (distribusi panjang gelombang) dari radiasi tergantung pada suhu sumber. Berlawanan dengan konduksi dan konveksi, perpindahan panas oleh radiasi tidak memerlukan kehadiran media bahan.
Interaksi antara bahan dan radiasi panas
Energi radiasi yang menabrak benda sebagian ditransmisikan, sebagian dipantulkan dan sebagian diserap (Gambar 1). Proporsi relatif setiap bagian berturut-turut disebut transmisivitas, reflektivitas, dan absorptivitas, yang jumlah totalnya adalah satu. Hanya bagian yang diserap menyebabkan panas. Jika tidak ada radiasi datang ditransmisikan, benda disebut buram (opaque). Benda yang menyerap secara sempurna radiasi datang disebut benda hitam. Absorptivitas benda hitam adalah satu dan reflektivitas dan transmisitasnya keduanya nol. Benda hitam juga benda yang mengemisikan jumlah maksimal radiasi panas pada suhu yang diberikan. Daya emisi benda hitam hanya merupakan fungsi suhu. Hubungan kuantitatif antara daya emisi benda hitam dan suhunya diberikan oleh persamaan Stefan-Boltzmann:


(1)
dimana E adalah daya emisi benda hitam (W/m^2), ‘sigma’ adalah tetapan Stefan (5,669 x 10^-8 W/m^2.K) dan T adalah suhu absolut (K).
Isitlah benda hitam merujuk kepada model fisik ideal seperti yang diuraikan di atas tidak perlu warna visual benda. Jadi, muka bumi dan bahkan salju putih hampir merupakan benda hitam terhadap sebagian besar spektra energi panas.
Mengikuti definisi, permukaan ‘nyata’ menyerap dan mengemisikan lebih sedikit energi daripada permukaan hitam pada suhu yang sama. Nisbah daya emisi benda nyata terhadap benda hitam pada suhu yang sama disebut emisivitas ‘epsilon’, dan nilainya selalu lebih kecil daripada satu.
Benda adalah ‘abu-abu’ jika emisivitasnya tidak tergantung panjang gelombang. Benda abu-abu juga merupakan model fisik ideal tanpa ada rujukan warna yang jelas. Daya emisi benda abu-abu diberikan oleh:

(2)
Emisivitas permukaan nyata sesungguhnya tergantung pada panjang gelombang. ‘Emisivitas rata-rata’ pada panjang gelombang yang relevan digunakan dalam perhitungan. Emisivitas rata-rata berbagai macam permukaan diberikan pada Tabel 1.

Pertukaran panas radiasi antar permukaan
Sebelum membahas lebih jauh ke dalam aspek kuantitatif pertukaran panas antara permukaan sebagai akibat radiasi, ada catatan penting yang harus diperhatikan:
- Radiasi bukanlah panas. Ia diubah menjadi panas dan menyebabkan pengaruh panas hanya setelah diserap oleh sebuah benda.
- Radiasi panas memiliki daya penetrasi yang sangat rendah. Energi radiant panas diserap oleh lapisan tipis dari benda buram. Dari sana, penetrasi panas selanjutnya terjadi oleh konveksi dan konduksi. Dengan demikian, pada benda dengan hambatan internal tinggi terhadap perpindahan panas, radiasi menciptakan beda suhu yang besar antara permukaan dan di dalam benda. Sifat ini dimanfaatkan dalam banyak kasus seperti pembentukan kerak dalam memanggang roti.
- Karena interaksi antara radiasi dan benda terjadi pada permukaan, absortivitas dan emisivitas adalah sifat permukaan. Perlakuan dan keadaan permukaan (mis.: pemolesan) sangat memengaruhi sifat ini.
Laju bersih pertukaran panas antara benda yang memancarkan radiasi tergantung pada dua jenis variabel:
- Sifat dan keadaan permukaan yang memancarkan radiasi: suhu, emisivitas dan absorptivitas.
- Posisi dalam ruang dari permukaan relatif terhadap satu sama lain, termasuk jarak antara keduanya. Untuk penyederhaan, ruang antar permukaan dianggap tidak mengandung benda yang menyerap atau memancarkan radiasi.
Pertama pandang pertukaran panas antara dua permukaan hitam. Kasus paling sederhana adalah bahwa dua permukaan hitam 1 dan 2 yang luasnya sama yang berhadapan satu sama lain. Dengan kata lain, semua radiasi yang dipancarkan oleh satu permukaan ditangkap oleh yang lain dan sebaliknya. Untuk kasus ini, perpindahan panas bersih dari 1 ke 2 adalah:

(3)
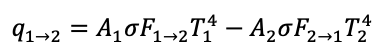
Keadaan dimana permukaan yang memancarkan radiasi hanya berhadapan satu sama lain agaknya hampir tidak mungkin. Dalam praktek, hanya sebagian radiasi yang meninggalkan satu permukaan mencapai permukaan lainnya (Gambar 2). Dalam hal ini biasanya didefinisikan ‘faktor pandangan m-n’ (Fm-n) yang merupakan fraksi energi radiant yang diemisikan oleh permukaan m yang menabrak permukaan n. Dengan menambahkan ruang ke Persamaan (3) dan mengabaikan kodisi luas sama didapatkan:

(4)
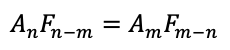
Secara matematika dapat dibuktikan bahwa:

(5)
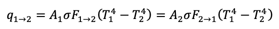
Maka Persamaan (3) dapat ditulis sebagai:

(6)

Dari dua pilihan yang ditawarkan oleh Persamaan (6), lebih disukai persamaan yang paling sederhana atau faktor pandangan yang paling diketahui. Faktor pandangan untuk beberapa kasus sederhana didaftar dalam Tabel 2. Faktor pandangan untuk geometri yang lebih kompleks telah dihitung dan umumnya disajikan dalam bentuk grafik.
Persamaan yang dikembangkan di atas untuk perpindahan panas radiasi antara permukaan hitam perlu dikoreksi untuk pertukaran panas radiasi antara permukaan nyata (dianggap abu-abu). Didefisikan faktor baru emisivitas saling bertukar, ‘epsilon 1 –> 2’. Perhitungan faktor ini memperhitungkan tidak hanya emisivitas masing-masing permukaan tetapi juga geometri. Sebagai contoh, emisivitas saling bertukar untuk dua permukaan bidang abu-abu sejajar yang sangat lebar adalah:

(7)
Untuk dua permukaan abu-abu, persamaan pertukaran panas radiasi menjadi:

(8)

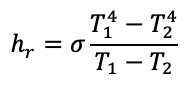
Radiasi digabungkan dengan konveksi
Dalam praktek, perpindahan panas sering melibatkan lebih daripada satu mekanisme. Perpindahan panas oleh gabungan konveksi dan radiasi adalah sangat biasa. Sebagai contoh, dalam oven pemanggang, panas dipindahkan ke produk dari udara panas oleh konveksi dan dari benda panas oleh radiasi. Penjumlahan langsung panas yang dipindahkan oleh kedua mekanisme tersebut adalah sulit. Hal ini karena fakta bahwa perpindahan panas radiasi melibatkan suhu pangkat empat sedangkan persamaan untuk perpindahan panas konveksi dan konduksi, suhu pangkat satu. Untuk mengatasi kesulitan ini, didefinisikan koefisien perpindahan panas ‘semu’ untuk radiasi, hr. Menggunakan definisi ini, persamaan perpindahan panas radiasi dapat dinyatakan dalam suku beda suhu sebagai berikut:

(9)
Untuk pertukaran antara dua benda hitam, hr diperoleh dengan membandingkan Persamaan (9) dengan (3). Hasilnya adalah:

(10)


Leave a comment