7. Alat penukar panas

Balik ke – 6. Perpindahan panas oleh radiasi

Alat penukar panas adalah alat untuk mempertukarkan panas antara dua fluida yang dipisahkan oleh partisi penghantar panas. Alat penukar panas sangat banyak digunakan dalam industri untuk pemanasan, pendinginan dan perubahan fasa yang diinduksi panas (pembekuan, penguapan). Fluida yang saling bertukar panas tersebut bisa terkungkung, tidak terkungkung (bebas), diam atau mengalir. Partisi adalah dinding padat penghantar panas, biasanya terbuat dari logam.

Perancangan alat penukar panas biasanya melibatkan dua domain utama: analisis panas dan perhitungan hidrolik. Di sini hanya akan dibahas kinerja panasnya saja.

Koefisien perpindahan panas menyeluruh

Pandang pertukaran panas antara dua fluida A dan B, yang dipisahkan oleh dinding penghantar panas (Gambar 1). Anggap T1 > T2 sehingga panas berpindah dari A ke B melalui tiga hambatan panas:

  1. Hambatan terhadap perpindahan panas konvektif dari fluida A ke luas kontak dinding (T1 –> T2).
  2. Hambatan dinding untuk perpindahan panas konduktif (T2 –> T3).
  3. Hambatan perpindahan panas konvektif dari permukaan dinding ke fluida B (T3 –> T4).
Gambar 1. Aliran panas dengan batas konveksi.

Laju perpindahan panas, yang didorong oleh beda suhu menyeluruh T1 – T4 adalah:

(1)

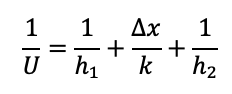
dimana A adalah luas perpindahan panas (m^2), h1 dan h2 adalah koefisien perpindahan panas berturut-turut pada sisi A dan B (W/m^2.K), T1 dan T4 adalah suhu fluida A dan B (K), ‘delta’x adalah tebal dinding (m) dan k adalah konduktivitas panas dinding (W/m.K).

Penyebut dalam Persamaan (1) adalah jumlah total hambatan perpindahan panas oleh konveksi pada dua sisi selaput tipis dan konduksi dinding pemisah. Maka, koefisien perpindahan panas menyeluruh U didefinisikan sebagai

(2)

Satuan SI dari U adalah W/m^2.K. Substitusi Persamaan (2) ke (1):

(3)

Koefisien perpindahan panas menyeluruh U adalah konsep dasar dalam perpindahan panas. Besaran ini dipenagruhi oleh banyak variabel, mis: sifat kedua fluida, kondisi aliran, pola aliran, geometri, ukuran fisik, tebal dan konduktivitas panas dinding, dll. Ketiga hambatan yang disebutkan di atas biasanya tidak sama signifikansinya. Sebagai contoh, jika fluida pada salah satu sisi alat penukar panas adalah uap yang mengembun (kukus) dan pada sisi lainnya cairan yang kental, hambatan panas pada sisi kukus mungkin dapat diabaikan. Jika penyekat terdiri atas dinding tipis dengan konduktivitas tinggi (mis.: tembaga), hambatan dinding dapat diabaikan. Nilai U untuk kasus pertukaran panas umum yang berbeda diberikan dalam Tabel 1.

Pertukaran panas antara fluida yang mengalir

Dalam alat penukar panas kontinyu, kedua fluida berada dalam gerakan. Ada tiga jenis pola aliran utama: sejajar, berlawanan arah dan aliran memotong (Gambar 2). Aliran sejajar dan berlawanan arah adalah yang paling umum dalam pertukaran panas cair-ke-cair dan cair-ke-uap yang mengembun. Pertukaran panas aliran memotong khususnya biasa digunakan untuk pemanasan atau pendinginan udara.

Gambar 2. Jenis pola aliran dalam alat penukar panas.

Ketika fluida yang saling mempertukarkan panasnya mengalir, suhu masing-masing fluida mengalami perubahan (Gambar 3). Suhu fluida panas turun dan suhu fluida dingin naik. Hal ini mengakibatkan beda suhu yang mendorong perpindahan panas berubah dari satu titik dalam alat penukar panas ke titik yang lain. Pandang alat penukar panas berlawanan arah shell-and-tube dan elemen kecil dA dari permukaan pertukaran yang ditunjukkan pada Gambar 2.

Gambar 3. Profil suhu fluida panas dan fluida dingin sebagai fungsi dari jarak (posisi) yang mengakibatkan beda suhu lokal berubah dengan jarak.

Fluida panas dan dingin akan diberi indeks h dan c. Dari neraca panas

(4)

(5)

dimana m mewakili laju alir massa, kg/s. Dari laju perpindahan panas Persamaan (3):

(6)

Persamaan (4) dan (5) menunjukkan bahwa jika laju alir dan panas spesifik adalah tetap, maka Th dan Tc berubah secara linier dengan q. Dengan demikian, beda suhu ‘delta’T juga berubah secara linier dengan q:

(7)

Setelah pemisahan variabel dan integrasi antara titik 1 dan 2 untuk seluruh alat penukar panas dengan menganggap U konstan diperoleh:

(8)

Persamaan dalam kurung adalah rata-rata logaritma beda suhu, disingkat LMTD (log mean temperature difference) atau ‘delta’Tml. Maka, laju pertukaran panas total untuk seluruh alat penukar panas adalah:

(9)

Dalam analisis di atas, dinding pemisah dianggap datar dan tipis. Dengan demikian, ukuran dA dan luas total A dianggap sama untuk sisi dingin dan panas. Untuk permukaan tebal dan melengkung (mis.: pipa berdinding tebal), luas juga akan menjadi rata-ratanya. Namun yang lebih umum adalah menggunakan luas salah satu dan mengkonversi koefisien perpindahan panas konveksi sisi lainnya dengan suatu faktor konversi tertentu.

Persamaan (9) berlaku untuk aliran berlawanan arah dan sejajar tetapi tidak untuk aliran campuran, mis.:alat penukar panas shell-and-tube dengan dua lintasan dalam sisi pipa (lihat Gambar 4). Faktor koreksi untuk berbagai macam konfigurasi aliran tersedia dalam literatur.

Gambar 4. Alat penukar panas shell-and-tube berlawanan arah.

Pengerakan

Efisiensi alat penukar panas mungkin bisa sangat berkurang selama operasi. Salah satu penyebab yang penting adalah akibat dari pengendapan berbagai macam bahan yang konduktivitasnya relatif rendah pada permukaan pertukaran. Sifat bahan ini tergantung pada fluida yang diolah, mis.: kerak dalam kasus air sadah, dll. Pengerakan sering menentukan waktu operasi maksimal antara dua penghentian untuk pembersihan.

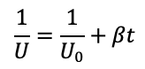
Jika laju pengendapan bahan yang mengerak dan konduktivitas panasnya diketahui, pengaruh pengerakan dapat diperhitungkan dalam perhitungan alat penukar panas. Hambatan lapisan kerak terhadap perpindahan panas secara gampang ditambahkan ke hambatan menyeluruh. Tanpa ada data yang pasti, dianggap bahwa hambatan lapisan kerak terhadap perpindahan panas naik secara linier dengan waktu:

(10)

dimana U adalah koefisien perpindahan panas menyeluruh dari penukar ‘kotor’, U0 adalah koefisien perpindahan panas dari penukar ‘bersih dan ‘beta’ adalah faktor kerak (W^-1 m^2 K s^-1).

Perlu dicatat bahwa Persamaan (10) hanya memberikan perkiraan pendekatan hambatan kerak. Pembentukan kerak sering tidak merata pada seluruh permukaan pertukaran. Sebagai contoh, laju pengendapan lebih tinggi di tempat dimana aliran adalah rendah. Dalam merancang alat penukar panas biasanya digunakan faktor hambatan pengotor total Rd yang merupakan hambatan pengotor total dimana kinerja alat dipandang tidak lagi mampu memenuhi spesisifkasi operasi.


Comments

One response to “7. Alat penukar panas”

Leave a comment