Balik ke – 1. Analogi Proses Perpindahan Momentum, Panas dan Massa
Perpindahan panas terjadi melalui tiga mekanisme dasar: konduksi, konveksi dan radiasi. Dalam praktek, lebih daripada satu mekanisme mungkin terlibat dalam proses perpindahan.
- Konduksi merujuk kepada perpindahan panas melalui media diam. Perpindahan massa yang setara dengan konduksi (perpindahan massa konduktif) adalah difusi molekuler melalui media diam.
- Konveksi terjadi ketika panas berpindah bersama-sama dengan fluida yang sedang bergerak. Pada perpindahan massa, konveksi (perpindahan massa konvektif) merujuk kepada keadaan dimana difusi molekuler terjadi secara serempak dengan aliran besarnya.
- Radiasi adalah perpindahan panas dalam bentuk radiasi elektromagnetik. Tidak seperti dua mekanisme terdahulu, perpindahan panas radiatif tidak memerlukan keberadaan media bahan antara dua titik.
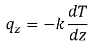
Dalam media tanpa ada gerakan internal (mis.: padatan), panas berpindah oleh konduksi dan massa oleh difusi molekuler. Perpindahan ini diatur oleh hukum Fourier dan hukum Fick (lihat disini).
Untuk perpindahan panas:

(1)
Untuk perpindahan massa:

(2)
Dalam persamaan (1) dan (2), qz dan JA adalah flux panas (W/m^2.K) dan massa (mol/m^2.s) ke arah z, k adalah konduktivitas panas media (W/m.K), T adalah suhu (K), DAB adalah difusivitas (koefisien difusi) molekul A dalam media B (m^2/s) dan CA adalah konsentrasi A (mol/m^3). Tanda minus sebelum gradien pada kedua persamaan tersebut bertindak untuk menunjukkan bahwa panas mengalir ke arah penurunan suhu dan massa berpindah ke arah penurunan konsentrasi.
Pada keadaan tunak, semua sifat yang mendefinisikan keadaan sistem (suhu, tekanan, komposisi kimia, dll.) tetap tidak berubah dengan waktu. Mereka mungkin saja bervariasi dengan lokasi dalam sistem. Ingat bahwa pada keadaan tunak, suhu dan konsentrasi hanya tergantung pada lokasi (z), sehingga persamaan (1) dan (2) di atas ditulis sebagai persamaan diferensial biasa.
Kondisi batas untuk integrasi persamaan (1) dan (2) adalah:

Dengan menganggap bahwa konduktivitas panas k tidak banyak berubah dengan suhu dan bahwa difusivitas tidak tergantung konsentrasi, integrasi memberikan:

(3)
(4)
Contoh 1. Hitung laju perpindahan panas melalui dinding beton (3 x 4) m. Salah satu muka dinding yang tebalnya 0,2 m adalah pada 22 oC dan muka yang lain pada 35 oC. Konduktivitas panas beton adalah 1,1 W/m.K.
Penyelesaian:
Dengan menganggap keadaan tunak dan persamaan (3) berlaku

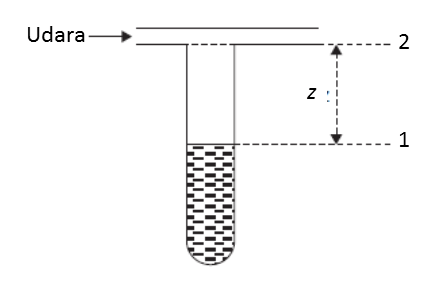
Contoh 2. Difusivitas uap aroma mudah menguap dalam udara diukur dengan prosedur sederhana, yang dikenal dengan metode Winkelman. Cairan mudah menguap ditaruh dalam bejana yang dihubungkan dengan tabung, melalui mana aliran udara dilewatkan (Gambar 1). Aliran udara cukup besar untuk membawa pergi uap secara sempurna dari zona penghubung antara bejana dan tabung. Jarak z dari penghubung ke permukaan cairan diukur sebagai fungsi waktu.
Dalam uji dengan aroma mudah menguap pada 25 oC dengan z mula-mula (t = 0) 30 mm, setelah 6 jam jarak z berubah menjadi 95 mm. Berapakah difusivitas uap aroma dalam udara?

(Data: berat molekul aroma = 110 g/mol; densitas cairan aroma = 940 kg/m^3; tekanan uap aroma pada 25 oC = 34 mm Hg; tekanan atmosfir = 100 kPa).
Penyelesaian:
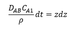
Metode didasarkan pada pengetahuan bahwa konsentrasi uap dalam udara adalah nol pada bidang 2 dan jenuh pada bidang 1. Keduanya adalah tidak berubah dengan waktu sehingga persamaan keadaan tunak dapat digunakan, walaupun sistem tidak benar-benar dalam keadaan tunak (z berubah dengan waktu).

Tetapi CA2 = 0 sehingga:

Integralkan memberikan

Konsentrasi jenuh dalam udara (kg/m^3) dapat dengan mudah dicari dari data tekanan uap.

Leave a comment