Balik ke – 2. Perpindahan panas dan massa konduktif
Konduktivitas panas dan difusivitas panas
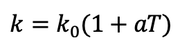
Konduktivitas panas adalah sifat bahan. Sifat ini berubah dengan suhu dan sangat tergantung pada tekanan dalam hal gas. Dalam sistem SI, satuannya adalah W/m.K. Dalam rentang suhu yang sempit, ketergantungan suhu terhadap konduktivitas panas k dapat didekati dengan persamaan linier

dimana k0 dan a adalah tetapan dan T adalah suhu. Pendekatan linier tersebut berlaku dengan syarat tidak terjadi perubahan fase pada bahan.
Difusivitas panas ‘alfa’ adalah konsep yang berguna dalam analisis perpindahan panas. Besaran ini didefinisikan sebagai nisbah konduktivitas panas terhadap ‘kapasitas panas volumetrik’ dari bahan. Kapasitas panas volumetrik diperoleh dengan mengalikan kapasitas panas massa (Cp) dengan densitas (‘rho’).

(1)
Seacara fisik, difusivitas panas dapat diterjemahkan sebagai nisbah dari kemampuan bahan untuk memindahkan panas terhadap kapasitasnya untuk menyimpan panas. Satuan SI untuk difusivitas panas adalah m^2/s.
Nilai mewakili pendekatan konduktivitas panas dan difusivitas panas beberapa bahan disajikan pada Tabel 1. Salah satu metode yang diusulkan untuk evaluasi konduktivitas panas bahan dari komposisinya diilustrasikan pada Contoh 1.

Contoh 1. Berdasarkan pada data percobaan, Sweat (1986) menyarankan persamaan berikut untuk perhitungan konduktivitas panas makanan

Sweat (1986), Thermal properties of foods. In Engineering Properties of Foods (Rao, M.A. and Rizvi, S.S.H., eds). Marcel Dekker, New York.
dimana X mewakili fraksi massa, c = karbohidrat, p = protein, f = lemak, a = abu, w = air.
Hitung konduktivitas panas roti daging yang mengandung 21% protein, 12% lemak, 10% karbohidrat, 1,5% abu dan 55,5% air.
Penyelesaian:

Difusivitas (massa) molekuler, koefisien difusi
Koefisien difusi D dalam hukum Fick tergantung pada spesies molekul yang berdifusi, media dimana molekul berdifusi dan suhu. Dalam sistem SI koefisien difusi dinyatakan dalam satuan m^2/s, sama seperti difusivitas panas.
Difusivitas gas dapat diperkirakan dengan cukup akurat, dengan bantuan teori kinetika gas. Difusivitas dalam campuran biner pada suhu ruang dan tekanan atmosfir adalah pada tingkat 10^-5 sampai 10^-4 m^2/s.
Beberapa model telah diusulkan untuk memperkirakan difusivitas dalam cairan. Salah satu yang paling dikenal adalah persamaan Einstein-Stokes untuk difusivitas Brownian zat terlarut. Menurut model ini difusivitas zat terlarut dengan jejari r (dianggap berbentuk bola) dalam cairan yang viskositasnya ‘miu’ diberikan oleh:

(2)
kB adalah tetapan Boltzman (1,38 x 10^-23 J/K), r adalah jejari partikel dan T adalah suhu absolut. Difusivitas zat terlarut dalam air pada suhu ruang berkisar dari 10^-9 untuk molekul kecil sampai 10^-11 untuk molekul besar (mis.: protein). Difusivitas beberapa senyawa dalam udara dan air diberikan dalam Tabel 2.

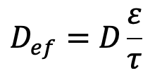
Difusi dalam padatan sebenarnya adalah amat sangat kecil. Dalam kristal dan logam, perpindahan molekuler terutama terjadi melalui cacat (lubang) kisi kristal, melalui proses ‘lompatan tunggal’. Koefisien difusi ion kecil dalam gelas padat mungkin bisa serendah 10^-25 m^2/s. Dalam padatan berpori, perpindahan massa besar terjadi melalui gas atau cairan yang mengisi pori-pori dan tidak melalui matriks padatan. Difusivitas efektif ‘Def’ dihubungkan dengan difusivitas D melalui media dalam pori-pori sebagai berikut:

(3)
‘epsilon’ (tak bersatuan) adalah porositas, yakni: fraksi volume rongga padatan berpori dan ‘tau’ (tak bersatuan) adalah faktor liku-liku, sebagai akibat lintasan berliku-liku molekul yang berdifusi melalui porositas padatan.

Leave a comment